Plus Two
!->
≡
+2
11
X
9
8
7
6
V
4
3
2
1
Sunday, 24 January 2021
Mathematics-E
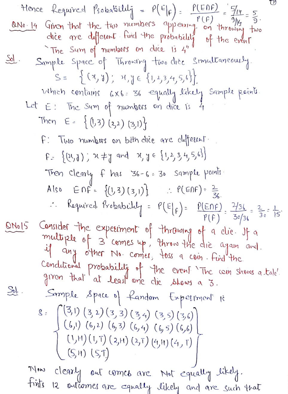
CH 13 - PROBABILITY
Real-Info
January 24, 2021
0
comments
PROBABILITY
Share This:
Facebook
whatsapp
Newer Post
Older Post
Home
Menu
Study
Class Plus Two
Arts
Commerce
Science
Video Lessons
E-Books
Class Plus One
Arts
Commerce
Science
Video Lessons
E-Books
Class X
English
Hindi
Punjabi
Science
Science-E
Mathematics
Mathematics-E
Social Studies
Social Studies-E
Physical Education
Physical Education-E
Computer
Computer-E
Video Lessons
E-Books
Class IX
English
Hindi
Punjabi
Science
Science-E
Mathematics
Mathematics-E
Social Studies
Social Studies-E
Physical Education
Physical Education-E
Computer
Computer-E
Video Lessons
E-Books
Class VIII
English
Hindi
Punjabi
Science
Science-E
Mathematics
Mathematics-E
Social Studies
Social Studies-E
Physical Education
Physical Education-E
Computer
Computer-E
Video Lessons
E-Books
Class VII
English
Hindi
Punjabi
Science
Science-E
Mathematics
Mathematics-E
Social Studies
Social Studies-E
Physical Education
Physical Education-E
Computer
Computer-E
Video Lessons
E-Books
Class VI
English
Hindi
Punjabi
Science
Science-E
Mathematics
Mathematics-E
Social Studies
Social Studies-E
Physical Education
Physical Education-E
Computer
Computer-E
Video Lessons
E-Books
Pre-Primary
Poem Pre-Primary
Story Pre-Primary
Pages
General English
General Punjabi
Elective Punjabi
Elective English
Elective Hindi
Political Science
History
Geography
Economics
E-Business E
Business Studies-E
Accountancy
Mathematics-E
Chemistry
Physics
Biology
Computer Science
Welcome Life
Syllabus
Labels
Model-Paper
(50)
Political Science
(46)
English
(38)
Accountancy
(34)
Elective Eng.
(34)
Geography
(33)
Punjabi
(32)
Economics
(28)
History
(25)
Business Study-E
(22)
History-E
(22)
Biology
(19)
Chemistry
(19)
Welcome Life
(19)
Hindi
(18)
Physics
(18)
Biology-E
(16)
Chemistry-E
(16)
Elective Punjabi
(15)
Physics-E
(15)
E-Business-E
(14)
Mathematics-E
(13)
Phy Edu
(7)
Popular Posts
L-2 A CHAMELEON
ਵਾਕ ਦੀਆਂ ਕਿਸਮਾਂ ਅਤੇ ਵਾਕ-ਵਟਾਂਦਰਾ
ਨੀਲੀ ਕਹਾਣੀ-ਸਾਰ-
1- ਟੁਕੜੀ ਜੱਗ ਤੋਂ ਨਿਆਰੀ) ਭਾਈ ਵੀਰ ਸਿੰਘ
L-3 THINKING OUT OF THE BOX: LATERAL THINKING